In air-controlled environments like pharmaceutical manufacturing areas, hospitals, food processing facilities, as well as homes and workplaces, there is a growing concern about indoor air quality. Deteriorated indoor air quality may cause adverse effects such as allergies, asthma, or sick building syndromes. Under certain circumstances, air quality can even become toxic. Taking air samples as a first step to controlling air quality by determining the microbiological quality of the air is imperative. Today, there are several sampling methodologies that are widely used. To address this growing need, IUL designed their superior air sampler, the Spin Air. This device is an internal impaction-based indoor microbial air sampler that features advanced industry technology to both identify and quantify airborne microorganisms and to do so with incomparable accuracy and precision. This means that IUL’s Spin Air air sampling equipment offers the ideal means to determine the quality of the air wherever it is utilized.
Spin Air’s rotating Petri dish allows for a real count thereby avoiding the use of colony count correction tables. Static systems, such as those offered by competitors, allow for only 5% of the total surface of the agar to be used.
Due to the instrument’s innovative rotation motion device and its special distribution of the holes, the Spin Air uses the entire Petri plate agar surface to plate microorganisms, thus vastly increasing the reproducibility between samples.
The Spin Air offers greater reproducibility and accuracy
IUL’s Spin Air has a feature that contributes to greater reproducibility and accuracy. When the device is used without rotation (0 rpm), a correction on the result to be applied is required, as with other single-stage impaction-based air samplers used for bacteria quantifications. This requisite correction/adjustment takes into consideration the probability that one microorganism travels across the same hole as a previous microorganism. While at low counts this correction is not important, it becomes dramatically higher when there are more than 150 CFUs per plate.
As a result of this required adjustment, the Spin Air’s technology increases air sampling accuracy, precision, and resolution, especially when sampling in mid or highly contaminated environments (particularly useful for GMP Grade C and D cleanrooms and regular environment sampling). This means whether deployed in a residential, commercial/industrial, hospital or research facility, IUL’s air sampling equipment contributes to maintaining a healthy, safe environment.

Air sampling – Why IUL’s Spin Air Microbial Air Sampler is the best option
Today, there are many competitors producing inertial impaction samplers for commercial use, since high-flow portable samplers with an integrated sampling pump have been popularized for use in a wide range of sectors. Most competitors’ models feature single-stage inertial impaction samplers, primarily for microbiological sampling. However, IUL’s Spin Air takes this instrument one step further.
The Spin Air features an integrated sampling pump that is fed by an internal battery, which makes it independent of the electrical network. Lightweight, quiet-during operation, and portable, it can also serve as a multi-hole impactor and therefore may be used for indoor sampling in offices, hospitals, schools and even remote areas.
A pros and cons comparison between single-stage impaction-based samplers

The Spin Air features proprietary features among air samplers. IUL’sSpin Air offers the most precise single-stage inertial impactor. In addition, the instrument can recover a higher number of colony-forming units. As a result, the Spin Air is superior when taking accurate indoor-air bioaerosol concentration measurements. Also, the Spin Air sampling head rotation mechanism increases the speed for quantification of air airborne microorganisms while avoiding positive-hole correction.
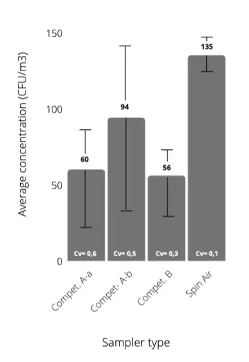
When compared against competitors’ devices, the Spin Air sampler achieves the highest number of CFU/m3. Simultaneously, the error and the coefficient of variation (cv) are the lowest recorded levels. Conversely, the other devices have a higher CV. Studies have indicated that higher CV levels can create unequal flow distribution, especially among devices designed with two sampling heads and a single aspiration pump. The Spin Air resolves this issue entirely as it features one main head as well as the option to use an attached sampler that contains its own aspiration pump.
In conclusion, standardization of indoor-air sampling methods for airborne microorganisms mandates that the performance of the air sampling devices be characterized.
IUL’s portable Spin Air device, a high-flow single-stage impaction-based microbial air sampler for bacteria sampling, provides the highest concentration with the lowest data dispersion. As such it is the most precise, accurate and reproducible instrumentation available.
